Important Note

Please turn desktop mode or rotate your mobile screen for better view

Definitions and Formulas

Introduction:- Integration is simply an inverse process of differentiation and this process is also called Anti-Differentiation.

Let f(x) is a function then differentiation of f(x)

{"code":"$\\diff{\\left(f\\left(x\\right)\\right)}{x}=g\\left(x\\right)$","font":{"family":"Arial","color":"#000000","size":12},"type":"$","id":"2","ts":1599476622862,"cs":"914iQGst/jxfG4Kj+JMP4Q==","size":{"width":120,"height":28}}

Then integration of g(x) is

{"font":{"size":12,"color":"#000000","family":"Arial"},"code":"$\\int_{}^{}g\\left(x\\right)=f\\left(x\\right)+c$","type":"$","id":"3","ts":1599476710336,"cs":"TrxQMe+1sAvWOeEMMNX8bA==","size":{"width":154,"height":22}}

Here c is constant and it is also called constant of integration.


Integration Terminology:-

Symbol/Terms

Meaning

{"type":"$","font":{"size":12,"family":"Arial","color":"#000000"},"id":"4","code":"$\\int_{}^{}f\\left(x\\right)dx$","ts":1599477098830,"cs":"/dzp4TqiTPXlTuij/IiPsQ==","size":{"width":78,"height":22}}

Integral of f with respect to x

f(x) in {"type":"$","font":{"size":12,"family":"Arial","color":"#000000"},"id":"4","code":"$\\int_{}^{}f\\left(x\\right)dx$","ts":1599477098830,"cs":"/dzp4TqiTPXlTuij/IiPsQ==","size":{"width":78,"height":22}}

Integrand

x in {"type":"$","font":{"size":12,"family":"Arial","color":"#000000"},"id":"4","code":"$\\int_{}^{}f\\left(x\\right)dx$","ts":1599477098830,"cs":"/dzp4TqiTPXlTuij/IiPsQ==","size":{"width":78,"height":22}}

Variable of Integration


Type of Integration:-

(1) Indefinite Integral

(2) Definite Integral


Indefinite Integration Formulas:-

{"id":"5","code":"\\begin{align*}\n{\\left(1\\right)\\,\\int_{}^{}0dx}&={0+c=c}\\\\\n{\\left(2\\right)\\,\\int_{}^{}1dx}&={\\int_{}^{}dx=x+c}\t\n\\end{align*}","type":"align*","font":{"size":10,"family":"Arial","color":"#000000"},"ts":1599477806288,"cs":"+6rJMx6QLj3dOXuQYMFzKA==","size":{"width":184,"height":76}}

{"font":{"size":7.425,"color":"#000000","family":"Arial"},"type":"align*","id":"6","code":"\\begin{align*}\n{\\left(3\\right)\\,\\int_{}^{}x^{n}dx}&={\\frac{x^{n+1}}{n+1}+c\\,\\,\\,\\,\\,,\\left(n\\neq-1\\right)}\\\\\n{\\left(4\\right)\\,\\int_{}^{}x^{-1}dx}&={\\int_{}^{}\\frac{1}{x}dx=\\log_{}x+c}\\\\\n{\\left(5\\right)\\,\\int_{}^{}{\\sqrt[]{x}}dx}&={\\frac{2}{3}x^{\\frac{3}{2}}+c}\\\\\n{\\left(6\\right)\\,\\int_{}^{}e^{x}\\,\\,dx}&={e^{x}+c}\\\\\n{\\left(7\\right)\\,\\int_{}^{}a^{x}\\,\\,dx}&={\\frac{a^{x}}{\\log_{e}a}+c}\t\n\\end{align*}","ts":1599478052967,"cs":"ThAI0tt/2+uH+O3Ii5VwZg==","size":{"width":260,"height":165}}

{"id":"7","code":"\\begin{align*}\n{\\left(8\\right)\\,\\int_{}^{}\\sin xdx}&={-\\cos x+c}\\\\\n{\\left(9\\right)\\,\\int_{}^{}\\cos xdx}&={\\sin x+c}\t\n\\end{align*}","type":"align*","font":{"color":"#000000","size":11,"family":"Arial"},"ts":1599478271532,"cs":"Ncy343F1/DwK1EnK7ibDtQ==","size":{"width":217,"height":86}}

{"type":"align*","code":"\\begin{align*}\n{\\left(10\\right)\\,\\int_{}^{}\\tan xdx}&={-\\log_{}\\left|\\cos x\\right|+c\\,or\\,\\log_{}\\left|\\sec x\\right|+c}\\\\\n{\\left(11\\right)\\,\\int_{}^{}\\cot xdx}&={\\log_{}\\left|\\sin x\\right|+c}\\\\\n{\\left(12\\right)\\,\\int_{}^{}\\sec ^{2}xdx}&={\\tan x+c}\t\n\\end{align*}","id":"8","font":{"family":"Arial","size":11,"color":"#000000"},"ts":1599478623544,"cs":"IZNngQBSOfkWv7RwxBtF3A==","size":{"width":393,"height":132}}

{"type":"$","code":"$\\left(13\\right)\\,\\int_{}^{}\\cos ec^{2}xdx=-\\cot x+c$","id":"9","font":{"color":"#000000","size":12,"family":"Arial"},"ts":1599478907920,"cs":"sS5VBm42Rlo5MuIGLj5txg==","size":{"width":273,"height":24}}

{"font":{"color":"#000000","family":"Arial","size":11},"id":"10","type":"align*","code":"\\begin{align*}\n{\\left(14\\right)\\,\\int_{}^{}\\cos ec\\,xdx}&={\\log_{}\\left|\\cos ecx-\\cot x\\right|+c}\\\\\n{\\left(15\\right)\\,\\,\\int_{}^{}\\sec\\,x\\,.dx}&={\\log_{}\\left|\\sec x+\\tan x\\right|+c}\t\n\\end{align*}","ts":1599479086413,"cs":"4z0bbS739bS09AeyQsC0zg==","size":{"width":338,"height":86}}

{"font":{"color":"#000000","family":"Arial","size":11},"id":"11","code":"\\begin{align*}\n{\\left(16\\right)\\,\\int_{}^{}\\frac{1}{{\\sqrt[]{1-x^{2}}}}dx}&={\\sin^{-1}x+c}\\\\\n{\\left(17\\right)\\,\\int_{}^{}\\frac{-1}{{\\sqrt[]{1-x^{2}}}}dx}&={\\cos^{-1}x+c}\\\\\n{\\left(18\\right)\\,\\int_{}^{}\\frac{1}{1+x^{2}}\\,dx}&={\\tan^{-1}x+c}\\\\\n{\\left(19\\right)\\,\\int_{}^{}\\frac{-1}{1+x^{2}}\\,dx}&={\\cot^{-1}x+c}\\\\\n\\end{align*}","type":"align*","ts":1599481911096,"cs":"OS0DtwI+F7WUF7g7KdDLRw==","size":{"width":262,"height":184}}

{"code":"\\begin{align*}\n{\\left(20\\right)\\,\\int_{}^{}\\frac{1}{x{\\sqrt[]{x^{2}-1}}}dx}&={\\sec^{-1}x+c}\\\\\n{\\left(21\\right)\\,\\int_{}^{}\\frac{-1}{x{\\sqrt[]{x^{2}-1}}}dx}&={\\cos ec^{-1}x+c}\t\n\\end{align*}","font":{"size":11,"color":"#000000","family":"Arial"},"id":"12","type":"align*","ts":1599482039266,"cs":"Qxa3ZmYQSISe+6pymN/1mQ==","size":{"width":288,"height":92}}

{"code":"\\begin{align*}\n{\\left(22\\right)\\,\\int_{}^{}\\frac{1}{x^{2}-a^{2}}dx}&={\\frac{1}{2a}\\log_{}\\left|\\frac{x-a}{x+a}\\right|+c}\\\\\n{\\left(23\\right)\\,\\int_{}^{}\\frac{1}{a^{2}-x^{2}}dx}&={\\frac{1}{2a}\\log_{}\\left|\\frac{a+x}{a-x}\\right|+c}\\\\\n{\\left(24\\right)\\,\\int_{}^{}\\frac{1}{x^{2}+a^{2}}dx}&={\\frac{1}{a}\\tan^{-1}\\left(\\frac{x}{a}\\right)+c}\t\n\\end{align*}","type":"align*","id":"13","font":{"size":11,"color":"#000000","family":"Arial"},"ts":1599482458266,"cs":"aI5mSU0iuPsXKw504M4MKA==","size":{"width":312,"height":132}}

{"type":"$","id":"14","code":"$\\left(25\\right)\\,\\int_{}^{}\\frac{1}{{\\sqrt[]{x^{2}+a^{2}}}}dx=\\log_{}\\left|x+{\\sqrt[]{x^{2}+a^{2}}}\\right|+c$","font":{"family":"Arial","color":"#000000","size":12},"ts":1599563379882,"cs":"LMyY4chxfGG3ukK4r8cdFQ==","size":{"width":361,"height":32}}

{"id":"15","type":"align*","code":"\\begin{align*}\n{\\left(26\\right)\\,\\int_{}^{}\\frac{1}{{\\sqrt[]{x^{2}-a^{2}}}}dx}&={\\log_{}\\left|x+{\\sqrt[]{x^{2}-a^{2}}}\\right|+c}\\\\\n{\\left(27\\right)\\,\\int_{}^{}\\frac{1}{{\\sqrt[]{a^{2}-x^{2}}}}dx}&={\\sin^{-1}\\left(\\frac{x}{a}\\right)+c}\\\\\n{\\left(28\\right)\\,\\,\\int_{}^{}{\\sqrt[]{x^{2}+a^{2}}}dx}&={\\frac{x}{2}{\\sqrt[]{x^{2}+a^{2}}}+\\frac{a^{2}}{2}\\log_{}\\left|x+{\\sqrt[]{x^{2}+a^{2}}}\\right|+c}\\\\\n{\\left(29\\right)\\,\\,\\int_{}^{}{\\sqrt[]{x^{2}-a^{2}}}dx}&={\\frac{x}{2}{\\sqrt[]{x^{2}+a^{2}}}-\\frac{a^{2}}{2}\\log_{}\\left|x+{\\sqrt[]{x^{2}-a^{2}}}\\right|+c}\\\\\n{\\left(30\\right)\\,\\,\\int_{}^{}{\\sqrt[]{a^{2}-x^{2}}}dx}&={\\frac{x}{2}{\\sqrt[]{a^{2}-x^{2}}}+\\frac{a^{2}}{2}\\sin^{-1}\\left(\\frac{x}{a}\\right)+c}\t\n\\end{align*}","font":{"size":11,"family":"Arial","color":"#000000"},"ts":1599563727591,"cs":"TXW4NV2cx0xa+yzgEp5Wqg==","size":{"width":498,"height":238}}

Properties of Indefinite Integration:-

(1) The process of differentiation and integration are inverse of each other.

{"code":"\\begin{align*}\n{\\diff{\\left(\\int_{}^{}f\\left(x\\right)dx\\right)}{x}}&={f\\left(x\\right)}\t\n\\end{align*}","id":"16-0","type":"align*","font":{"family":"Arial","size":11,"color":"#000000"},"ts":1599564313491,"cs":"vlM9V18T36ZXAKk88dmjyA==","size":{"width":162,"height":42}}

{"type":"$","code":"$\\int_{}^{}f^{\\prime }\\left(x\\right)dx=f\\left(x\\right)+c$","id":"17","font":{"color":"#000000","family":"Arial","size":12},"ts":1599564349046,"cs":"oQBdPklqLiuEy9b7bJ6Jdg==","size":{"width":184,"height":22}}

Ex:- Let f(x) = sinx

{"id":"18","type":"align*","code":"\\begin{align*}\n{}&={\\diff{\\left(\\int_{}^{}\\sin x.dx\\right)}{x}}\t\n\\end{align*}","font":{"family":"Arial","color":"#000000","size":11},"ts":1599564458956,"cs":"sqYWluaCvkhy4QCfx595Ag==","size":{"width":137,"height":42}}

We know that {"id":"19","font":{"color":"#000000","family":"Arial","size":12},"type":"$","code":"$\\int_{}^{}\\sin xdx=-\\cos x$","ts":1599564490100,"cs":"XY4TP6sVGQYAootOfgoJOw==","size":{"width":168,"height":22}}

{"code":"\\begin{align*}\n{}&={\\diff{\\left(-\\cos x\\right)}{x}}\\\\\n{}&={-\\left(-\\sin x\\right)}\\\\\n{}&={\\sin x=f\\left(x\\right)}\t\n\\end{align*}","id":"20","type":"align*","font":{"family":"Arial","size":11,"color":"#000000"},"ts":1599564574739,"cs":"HHiyrdRKOITJG04nWSaCYA==","size":{"width":117,"height":85}}

(2) Two indefinite integrals with the same derivative lead to the same family of curves and so they are equivalent.

Proof:- Let f and g be two functions such that

{"type":"$","font":{"family":"Arial","size":12,"color":"#000000"},"code":"$\\diff{\\left(\\int_{}^{}f\\left(x\\right)dx\\right)}{x}=\\diff{\\left(\\int_{}^{}g\\left(x\\right)dx\\right)}{x}$","id":"21","ts":1599564777268,"cs":"Tzw+9Ugto0NsmBRBqOjW+Q==","size":{"width":197,"height":30}}

{"id":"22","code":"$\\diff{\\left[\\int_{}^{}f\\left(x\\right)dx-\\int_{}^{}g\\left(x\\right)dx\\right]}{x}=0$","font":{"size":12,"family":"Arial","color":"#000000"},"type":"$","ts":1599564825667,"cs":"9LMFt0juVJZzS7sV5QPRFQ==","size":{"width":188,"height":30}}

From property 1:-

{"code":"\\begin{align*}\n{\\diff{\\left(\\int_{}^{}f\\left(x\\right)dx\\right)}{x}}&={f\\left(x\\right)}\t\n\\end{align*}","id":"16-1","type":"align*","font":{"family":"Arial","size":11,"color":"#000000"},"ts":1599564313491,"cs":"EYfxfTZ1U4ZY/Z9x1hCCFg==","size":{"width":162,"height":42}}

{"font":{"size":11,"family":"Arial","color":"#000000"},"id":"23","code":"$\\int_{}^{}f\\left(x\\right)dx-\\int_{}^{}g\\left(x\\right)dx=0$","type":"$","ts":1599565023672,"cs":"b0Xk884rzE1N5swbXhOSkA==","size":{"width":193,"height":20}}

{"font":{"family":"Arial","size":11,"color":"#000000"},"type":"$","code":"$\\int_{}^{}f\\left(x\\right)dx=\\int_{}^{}g\\left(x\\right)dx+C$","id":"24","ts":1599565037627,"cs":"odwdiMlRmGESxYZX0LF73Q==","size":{"width":198,"height":20}}

So the families of curves are identical.


(3) Addition Property

{"font":{"size":12,"family":"Arial","color":"#000000"},"code":"$\\int_{}^{}\\left[f\\left(x\\right)+g\\left(x\\right)\\right]dx=\\int_{}^{}f\\left(x\\right)dx+\\int_{}^{}g\\left(x\\right)dx$","id":"25","type":"$","ts":1599565195134,"cs":"9L/Mktb25RaAsUvXewb3Kw==","size":{"width":356,"height":22}}


(4) Multiplication Property:- Let u and v are two functions

{"id":"26","code":"$\\int_{}^{}\\left(u.v\\right)dx=u\\int_{}^{}vdx-\\int_{}^{}\\diff{u}{x}\\left(\\int_{}^{}v.dx\\right)dx$","type":"$","font":{"family":"Arial","size":12,"color":"#000000"},"ts":1599565332148,"cs":"PYT9lrHynYhLa2hAc2GBzQ==","size":{"width":344,"height":24}}


(5) Let k be a real number then

{"id":"27","font":{"family":"Arial","size":12,"color":"#000000"},"code":"$\\int_{}^{}kf\\left(x\\right)dx=k\\int_{}^{}f\\left(x\\right)dx$","type":"$","ts":1599565473335,"cs":"bi39pZ79c48hvbV/FtDQ0g==","size":{"width":209,"height":22}}


Methods of Integration:-

(1) Integration by substitution:- Let f(x) be a function

{"code":"$I=\\int_{}^{}f\\left(x\\right)dx$","font":{"color":"#000000","family":"Arial","size":11},"id":"28","type":"$","ts":1599567312569,"cs":"3L2Cbu3wkXJT9+sPovxZdQ==","size":{"width":102,"height":20}}

Put x = g(t) then differentiate w.r.t to t

{"font":{"color":"#000000","size":11,"family":"Arial"},"id":"29-0","code":"\\begin{align*}\n{\\diff{x}{t}}&={g^{\\prime }\\left(t\\right)}\\\\\n{dx\\,}&={g^{\\prime }\\left(t\\right)dt}\t\n\\end{align*}","type":"align*","ts":1599567529861,"cs":"rAUuSGnXXK//Gja2Qh6dzA==","size":{"width":101,"height":61}}

{"font":{"size":11,"color":"#000000","family":"Arial"},"code":"$I=\\int_{}^{}f\\left(g\\left(t\\right)\\right).g^{\\prime }\\left(t\\right)dt$","id":"30","type":"$","ts":1599567618365,"cs":"OdJVz0MOKQFLtlbfql8lbw==","size":{"width":160,"height":20}}

Example:- Let f(x) = sin mx

{"type":"$","font":{"color":"#000000","size":11,"family":"Arial"},"id":"31","code":"$I=\\int_{}^{}\\sin mx.dx$","ts":1599567806749,"cs":"9TiexD+nuac7iPC5E4bPVQ==","size":{"width":128,"height":20}}

Let mx = t then differentiate w.r.t to t

{"code":"\\begin{align*}\n{\\diff{\\left(mx\\right)}{t}}&={\\diff{t}{t}}\\\\\n{m\\diff{x}{t}\\,}&={1}\\\\\n{m.dx\\,}&={dt}\t\n\\end{align*}","type":"align*","font":{"color":"#000000","size":11,"family":"Arial"},"id":"29-1","ts":1599568011734,"cs":"zgmqvDFWOY7gMY9Ryjoktg==","size":{"width":106,"height":104}}

{"font":{"size":11,"family":"Arial","color":"#000000"},"code":"\\begin{align*}\n{I}&={\\int_{}^{}\\sin t.\\frac{dt}{m}}\\\\\n{I}&={\\frac{1}{m}\\int_{}^{}\\sin t.dt}\\\\\n{I}&={\\frac{-\\cos t}{m}+c}\t\n\\end{align*}","id":"32","type":"align*","ts":1599568275670,"cs":"S454yP0Nf8fYrCxIL4H4Cg==","size":{"width":137,"height":128}}

Given t = mx

{"type":"$","code":"$I=\\frac{-\\cos mx}{m}+c$","font":{"size":11,"family":"Arial","color":"#000000"},"id":"33","ts":1599568294461,"cs":"xPSx5DzAyT3HhVrZHqCxJQ==","size":{"width":120,"height":20}}

(2) Integration using trigonometric identities:- In this method function is integrated using the trigonometric formulas.

Example:- Find integration of cos2x

Solun:- Let f(x) = cos2x

We know that cos 2x = 2cos2x - 1

Then cos2x = (1 + cos2x)/2

{"font":{"family":"Arial","color":"#000000","size":11},"type":"$","id":"34","code":"$I=\\int_{}^{}f\\left(x\\right)dx$","ts":1599568896262,"cs":"3vvDdKHnyZ3vS4reNGBXNA==","size":{"width":102,"height":20}}

{"font":{"color":"#000000","family":"Arial","size":10},"code":"\\begin{align*}\n{I}&={\\int_{}^{}\\frac{1+\\cos2x}{2}dx}\\\\\n{I}&={\\frac{1}{2}\\int_{}^{}\\left(1+\\cos2x\\right)dx}\\\\\n{I}&={\\frac{1}{2}\\left(\\int_{}^{}1dx+\\int_{}^{}\\cos2xdx\\right)}\\\\\n{I}&={\\frac{1}{2}\\left(x+\\frac{\\sin2x}{2}\\right)+c}\\\\\n{I}&={\\frac{x}{2}+\\frac{\\sin2x}{4}+c}\t\n\\end{align*}","id":"35","type":"align*","ts":1599569357828,"cs":"NMYfIt1V/VTHSnCgLpTbPA==","size":{"width":208,"height":198}}

(3) Integrals of Some particular function:-

{"type":"$","code":"$\\int_{}^{}\\frac{dx}{ax^{2}+bx+c}$","font":{"family":"Arial","color":"#000000","size":12},"id":"36","ts":1599569791349,"cs":"dOyS/IX4pLbGF7EXRtXsAg==","size":{"width":92,"height":26}}  and  {"code":"$\\int_{}^{}\\frac{dx}{{\\sqrt[]{ax^{2}+bx+c}}}$","id":"36","font":{"family":"Arial","size":12,"color":"#000000"},"type":"$","ts":1599569930555,"cs":"o9JUyxXPQYwKTC0+BDxniw==","size":{"width":104,"height":29}} if the coefficient of x2 is greater than 1 then first take it common and then half the coefficient of x and square it and then add and multiply that value and make it perfect square and then use formula.

{"type":"$","id":"36","code":"$\\int_{}^{}\\frac{px+q}{ax^{2}+bx+c}dx$","font":{"color":"#000000","size":12,"family":"Arial"},"ts":1599570393849,"cs":"aaf3PZsdjptqeFyTw+dEBg==","size":{"width":113,"height":26}}  and  {"type":"$","code":"$\\int_{}^{}\\frac{px+q}{{\\sqrt[]{ax^{2}+bx+c}}}dx$","font":{"family":"Arial","size":12,"color":"#000000"},"id":"36","ts":1599570413256,"cs":"eenrb8N/ze7QQL5OrUlhbw==","size":{"width":125,"height":29}} 

Use this formula:-

{"code":"$\\left(numerator\\right)=A\\diff{\\left(denominator\\right)}{x}+B$","font":{"family":"Arial","color":"#000000","size":11},"type":"$","id":"37","ts":1599570707153,"cs":"N1+zEqjZw465oRdyl3NVJA==","size":{"width":272,"height":24}}

Find A and B.

Example:- {"font":{"size":12,"color":"#000000","family":"Arial"},"type":"$","id":"36","code":"$\\int_{}^{}\\frac{dx}{3x^{2}+13x-10}$","ts":1599570966314,"cs":"ZrQqMfDF8HZKgey1aIfnzA==","size":{"width":108,"height":26}}

Solun:- {"font":{"size":12,"color":"#000000","family":"Arial"},"type":"$","id":"36","code":"$\\int_{}^{}\\frac{dx}{3x^{2}+13x-10}$","ts":1599570966314,"cs":"ZrQqMfDF8HZKgey1aIfnzA==","size":{"width":108,"height":26}}

{"type":"align*","id":"38","code":"\\begin{align*}\n{}&={\\int_{}^{}\\frac{dx}{3\\left(x^{2}+\\frac{13}{3}x-\\frac{10}{3}\\right)}}\\\\\n{}&={\\int_{}^{}\\frac{dx}{3\\left(x^{2}+\\frac{13}{3}x+\\left(\\frac{13}{6}\\right)^{2}-\\left(\\frac{13}{6}\\right)^{2}-\\frac{10}{3}\\right)}}\\\\\n{}&={\\int_{}^{}\\frac{dx}{3\\left[\\left(x+\\frac{13}{6}\\right)^{2}-\\frac{289}{36}\\right]}}\\\\\n{}&={\\int_{}^{}\\frac{dx}{3\\left[\\left(x+\\frac{13}{6}\\right)^{2}-\\left(\\frac{17}{6}\\right)^{2}\\right]}}\t\n\\end{align*}","font":{"size":9.356435643564357,"family":"Arial","color":"#000000"},"ts":1599571935736,"cs":"lBCnrM5amVX6yLB8uzbgvg==","size":{"width":290,"height":202}}

We know that {"font":{"size":10,"family":"Arial","color":"#000000"},"id":"13","code":"\\begin{align*}\n{\\int_{}^{}\\frac{1}{x^{2}-a^{2}}dx}&={\\frac{1}{2a}\\log_{}\\left|\\frac{x-a}{x+a}\\right|+c}\t\n\\end{align*}","type":"align*","ts":1599571536150,"cs":"zWY57VXlK/6xDn48VH58dQ==","size":{"width":238,"height":36}}

{"id":"39","code":"\\begin{align*}\n{}&={\\frac{1}{3}\\int_{}^{}\\frac{dx}{\\left(x+\\frac{13}{6}\\right)^{2}-\\left(\\frac{17}{6}\\right)^{2}}}\\\\\n{}&={\\frac{1}{3}\\times\\frac{1}{2\\times\\frac{17}{6}}\\log_{}\\left(\\frac{x+\\frac{13}{6}-\\frac{17}{6}}{x+\\frac{13}{6}+\\frac{17}{6}}\\right)+c}\\\\\n{}&={\\frac{1}{17}\\log_{}\\left(\\frac{x-\\frac{2}{3}}{x+5}\\right)+c}\\\\\n{}&={\\frac{1}{17}\\log_{}\\left(\\frac{3x-2}{3x+15}\\right)+c}\\\\\n{}&={\\frac{1}{17}\\left[\\log_{}\\left(\\frac{3x-2}{x+5}\\right)+\\log_{}\\left(\\frac{1}{3}\\right)\\right]+c}\\\\\n{}&={\\frac{1}{17}\\log_{}\\left(\\frac{3x-2}{x+5}\\right)+C}\t\n\\end{align*}","font":{"color":"#000000","size":10,"family":"Arial"},"type":"align*","ts":1599572297207,"cs":"xYgBDTfWFgJWN1Qctamqzg==","size":{"width":270,"height":276}}

Example:- {"id":"40","font":{"family":"Arial","color":"#000000","size":10},"code":"$\\int_{}^{}\\frac{x+2}{2x^{2}+6x+5}dx$","type":"$","ts":1599640683578,"cs":"Njzb/01P86J7NGAItDyVoQ==","size":{"width":89,"height":20}}

Solun:- Using Formula:-

{"id":"41","font":{"size":11,"color":"#000000","family":"Arial"},"type":"align*","code":"\\begin{align*}\n{x+2}&={A\\diff{\\left(2x^{2}+6x+5\\right)}{x}+B}\\\\\n{x+2}&={A\\left(4x+6\\right)+B}\\\\\n{x+2}&={4Ax+6A+B}\t\n\\end{align*}","ts":1599641220599,"cs":"myyitHgEd5EdEpj1xQByww==","size":{"width":248,"height":89}}

Compare the coefficient of A and B:-

A = 1/4 and B = 1/2

Then x + 2 =1/4(4x+6)+1/2

{"type":"align*","code":"\\begin{align*}\n{}&={\\int_{}^{}\\frac{\\frac{1}{4}\\left(4x+6\\right)+\\frac{1}{2}}{2x^{2}+6x+5}dx}\\\\\n{}&={\\frac{1}{4}\\int_{}^{}\\frac{\\left(4x+6\\right)}{2x^{2}+6x+5}dx+\\frac{1}{2}\\int_{}^{}\\frac{1}{2x^{2}+6x+5}dx}\\\\\n{}&={\\frac{I_{1}}{4}+\\frac{I_{2}}{2}}\t\n\\end{align*}","id":"43","font":{"size":11,"color":"#000000","family":"Arial"},"ts":1599641740290,"cs":"kZKEoroFMuGHBiB2Xll44w==","size":{"width":384,"height":136}}

{"code":"$I=\\frac{1}{4}I_{1}+\\frac{1}{2}I_{2}$","id":"49","font":{"family":"Arial","size":12,"color":"#000000"},"type":"$","ts":1599642987780,"cs":"WVVU5v5v88fpjSBeF0JGuw==","size":{"width":128,"height":24}}

Calculate I1:-

{"font":{"color":"#000000","family":"Arial","size":11},"code":"\\begin{align*}\n{I_{1}}&={\\int_{}^{}\\frac{4x+6}{2x^{2}+6x+5}dx}\t\n\\end{align*}","id":"44","type":"align*","ts":1599641848393,"cs":"kEW9B9Im0MX7j5RHY452HA==","size":{"width":188,"height":40}}

Let 2x2 +6x +5 = t

Differentiate w.r.t. t:-

(4x + 6)dx = dt

Put this value in  I1:-

{"id":"45","code":"\\begin{align*}\n{I_{1}}&={\\int_{}^{}\\frac{dt}{t}}\\\\\n{I_{1}}&={\\log_{}\\left|t\\right|+c_{1}}\t\n\\end{align*}","font":{"size":11,"color":"#000000","family":"Arial"},"type":"align*","ts":1599642912864,"cs":"xh8PbddCVsecGcqx7Sjzew==","size":{"width":116,"height":64}}(By formula)

Put the value of t:-

{"id":"46","font":{"color":"#000000","family":"Arial","size":11},"code":"$I_{1}=\\log_{}\\left|2x^{2}+6x+5\\right|+c_{1}$","type":"$","ts":1599642939631,"cs":"Cp8BqLJoWZ6sq93/IvNUKQ==","size":{"width":212,"height":20}}

Calculate I2:-

{"id":"48","font":{"size":11,"color":"#000000","family":"Arial"},"code":"\\begin{align*}\n{I_{2}}&={\\int_{}^{}\\frac{1}{2x^{2}+6x+5}dx}\\\\\n{I_{2}}&={\\frac{1}{2}\\int_{}^{}\\frac{1}{x^{2}+3x+\\frac{5}{2}}dx}\\\\\n{I_{2}}&={\\frac{1}{2}\\int_{}^{}\\frac{1}{x^{2}+3x+\\left(\\frac{3}{2}\\right)^{2}-\\left(\\frac{3}{2}\\right)^{2}+\\frac{5}{2}}dx}\\\\\n{I_{2}}&={\\frac{1}{2}\\int_{}^{}\\frac{1}{\\left(x+\\frac{3}{2}\\right)^{2}+\\left(\\frac{1}{2}\\right)^{2}}dx}\\\\\n{I_{2}}&={\\frac{1}{2}\\times\\frac{1}{\\frac{1}{2}}\\tan^{-1}\\left(\\frac{x+\\frac{3}{2}}{\\frac{1}{2}}\\right)+c_{2}}\\\\\n{I_{2}}&={\\tan^{-1}\\left(2\\left(x+\\frac{3}{2}\\right)\\right)+c_{2}}\\\\\n{I_{2}}&={\\tan^{-1}\\left(2x+3\\right)+c_{2}}\t\n\\end{align*}","type":"align*","ts":1599642869857,"cs":"W2MlexCF2tajxFQgcJtaKg==","size":{"width":325,"height":336}}

Calculate I:-

{"code":"$I=\\frac{1}{4}\\log_{}\\left|2x^{2}+6x+5\\right|+\\frac{1}{2}\\tan^{-1}\\left(2x+3\\right)+C$","id":"50","type":"$","font":{"size":11,"family":"Arial","color":"#000000"},"ts":1599643072119,"cs":"sDZNv+6HIwVKCbf72UIHyA==","size":{"width":364,"height":21}}

(4) Integration by Partial Function:-


S.No.

Functions

Partial Form

1.

{"type":"$","code":"$\\frac{px+q}{\\left(x-a\\right)\\left(x-b\\right)},a\\neq b$","font":{"size":11,"color":"#000000","family":"Arial"},"id":"51-0","ts":1599643605766,"cs":"knxqc2p6IgNnV8WJnFPvJg==","size":{"width":124,"height":25}}

{"code":"$\\frac{A}{\\left(x-a\\right)}+\\frac{B}{\\left(x-b\\right)}$","font":{"family":"Arial","color":"#000000","size":11},"id":"52-0","type":"$","ts":1599643648557,"cs":"KzbltHHi4FqPizFAperYlw==","size":{"width":104,"height":25}}

2.

{"font":{"size":11,"color":"#000000","family":"Arial"},"code":"$\\frac{px+q}{\\left(x-a\\right)^{2}}$","type":"$","id":"51-1","ts":1599643808428,"cs":"W5Gs+tKxZN9LLTb4/8sxsw==","size":{"width":46,"height":28}}

{"font":{"family":"Arial","color":"#000000","size":11},"id":"52-1","code":"$\\frac{A}{\\left(x-a\\right)}+\\frac{B}{\\left(x-a\\right)^{2}}$","type":"$","ts":1599645847007,"cs":"eravFLDlDMivTh3uNcELeA==","size":{"width":110,"height":28}}

3.

{"type":"$","code":"$\\frac{px^{2}+qx+r}{\\left(x-a\\right)\\left(x-b\\right)\\left(x-c\\right)}$","font":{"size":11,"family":"Arial","color":"#000000"},"id":"51-2-0","ts":1599643945067,"cs":"Ou9+0AS2lREp3HJpe4t79g==","size":{"width":106,"height":28}}

{"font":{"size":11,"color":"#000000","family":"Arial"},"id":"52-2","type":"$","code":"$\\frac{A}{\\left(x-a\\right)}+\\frac{B}{\\left(x-b\\right)}+\\frac{C}{\\left(x-c\\right)}$","ts":1599645973332,"cs":"I0UUL9cOe60oQUUYhjTB7g==","size":{"width":168,"height":25}}

4.

{"type":"$","font":{"color":"#000000","size":11,"family":"Arial"},"code":"$\\frac{px^{2}+qx+r}{\\left(x-a\\right)^{2}\\left(x-b\\right)}$","id":"51-2-1","ts":1599644129148,"cs":"+vCTzflyhTbejrAaPDqPDg==","size":{"width":80,"height":32}}

{"type":"$","id":"52-3","font":{"color":"#000000","size":11,"family":"Arial"},"code":"$\\frac{A}{\\left(x-a\\right)}+\\frac{B}{\\left(x-a\\right)^{2}}+\\frac{C}{\\left(x-b\\right)}$","ts":1599646178451,"cs":"mjZvOdnKwR7a8k4npTpSRQ==","size":{"width":173,"height":28}}

5.

{"id":"53","type":"$","font":{"size":11,"family":"Arial","color":"#000000"},"code":"$\\frac{px^{2}+qx+r}{\\left(x-a\\right)\\left(x^{2}+bx+c\\right)}$","ts":1599644221294,"cs":"+gjK3O2oJre7p+KyBoN0Vg==","size":{"width":102,"height":28}}

{"code":"$\\frac{A}{\\left(x-a\\right)}+\\frac{Bx+C}{x^{2}+bx+c}$","id":"52-4","type":"$","font":{"color":"#000000","family":"Arial","size":11},"ts":1599646232425,"cs":"D8DSnRVKV7WS/Xt//DymIQ==","size":{"width":122,"height":25}}


(5) Integration by Parts:- Let u and v be two functions

{"id":"26","code":"$\\int_{}^{}\\left(u.v\\right)dx=u\\int_{}^{}vdx-\\int_{}^{}\\diff{u}{x}\\left(\\int_{}^{}v.dx\\right)dx$","type":"$","font":{"family":"Arial","size":12,"color":"#000000"},"ts":1599565332148,"cs":"PYT9lrHynYhLa2hAc2GBzQ==","size":{"width":344,"height":24}}

(6) Integral of type:- 

{"font":{"size":11,"color":"#000000","family":"Arial"},"type":"$","id":"54","code":"$\\int_{}^{}e^{x}\\left[f\\left(x\\right)+f^{\\prime }\\left(x\\right)\\right]dx=e^{x}.f\\left(x\\right)+c$","ts":1599647011015,"cs":"fua5qlo2J0Fd6PiHQ8Pkzw==","size":{"width":272,"height":20}}


Definite Integral

Fundamental Theorems of Calculus:- 

(1) Let f be a continuous function on the closed interval [a, b] and let A(x) be the area function.Then A’(x) = f(x), for all x ∈ [a, b]

(2) Let f be continuous function defined on the closed interval [a, b] and F be an anti-derivative of f. Then 

{"type":"$","id":"55","code":"$\\int_{a}^{b}f\\left(x\\right)dx=\\left[F\\left(x\\right)\\right]_{a}^{b}=F\\left(b\\right)-F\\left(a\\right).$","font":{"family":"Arial","color":"#222222","size":12},"ts":1599649013552,"cs":"1bM2d+jWqvIO5tBrqWNkNw==","size":{"width":313,"height":28}}

Methods of Definite Integral:- 

(1) Simple Definite Integral

(2) Definite Integral by Substitution

(1) Simple Definite Integral:- Let f(x) be a function

(i) Find the indefinite integral of f(x) {"code":"$\\int_{}^{}f\\left(x\\right)dx=F\\left(x\\right)$","type":"$","font":{"color":"#000000","family":"Arial","size":11},"id":"56","ts":1599650804244,"cs":"heJyokQBJ3J/RFOmkJjNRA==","size":{"width":132,"height":20}}

Then {"font":{"family":"Arial","size":11,"color":"#000000"},"id":"57","code":"$\\int_{a}^{b}f\\left(x\\right)dx=\\left[F\\left(x\\right)\\right]_{a}^{b}$","type":"$","ts":1599650856527,"cs":"fDyYl7Aj6KiTvMQKlbaEHA==","size":{"width":156,"height":24}}

(Upper limit - lower limit)

{"code":"$\\int_{a}^{b}f\\left(x\\right)dx=\\left[F\\left(b\\right)-F\\left(a\\right)\\right]$","font":{"size":11,"family":"Arial","color":"#000000"},"type":"$","id":"58","ts":1599651225790,"cs":"zJBAJ4TPea4UDIRmBXlIiQ==","size":{"width":204,"height":24}}

(ii) Evaluate this expression.

(2) Definite Integral by Substitution:- 

Evaluate:- {"code":"$\\int_{-1}^{1}5x^{4}{\\sqrt[]{x^{5}+1}}\\,dx$","type":"$","id":"59","font":{"size":11,"color":"#000000","family":"Arial"},"ts":1599655169660,"cs":"1ve4A0rReQWrF3l9b0dXEA==","size":{"width":142,"height":24}}

Solun:- Let {"font":{"family":"Arial","color":"#000000","size":11},"code":"$t={\\sqrt[]{x^{5}+1}}$","type":"$","id":"59","ts":1599655616698,"cs":"B9KR6UcahzL4WTAzs/Tp2Q==","size":{"width":94,"height":18}}

t2 = x5 + 1…....(1)

2t.dt = 5x4dx

And also update limits (Because given limits are related to x)

Put x = 1 in Eq. 1:-

⇒ t =

Put x = -1 in Eq. 2:-

⇒ t = 0

{"font":{"color":"#222222","family":"Arial","size":11},"code":"\\begin{align*}\n{I}&={\\int_{0}^{{\\sqrt[]{2}}}2t^{2}dt}\\\\\n{I}&={\\left[\\frac{2t^{3}}{3}\\right]_{0}^{{\\sqrt[]{2}}}}\\\\\n{I}&={\\frac{2}{3}\\left(2{\\sqrt[]{2}}-0\\right)}\\\\\n{I}&={\\frac{4{\\sqrt[]{2}}}{3}}\t\n\\end{align*}","id":"60","type":"align*","ts":1599655921875,"cs":"XHXOa4InmC/DElzOMKUtnw==","size":{"width":136,"height":196}}

Properties of Definite Integral:- 

(1) {"font":{"family":"Arial","color":"#000000","size":11},"code":"$\\int_{a}^{b}f\\left(x\\right)dx=\\int_{a}^{b}f\\left(t\\right)dt$","type":"$","id":"61","ts":1599656278923,"cs":"4AXQpfVahDZzwhO0t2nijg==","size":{"width":168,"height":24}}

Proof:- Let x = t

Differentiate w.r.t to t:-

⇒ dx = dt

Limits:- t = a and t = b

Taking L.H.S:-

{"type":"align*","code":"\\begin{align*}\n{}&={\\int_{a}^{b}f\\left(x\\right)dx}\\\\\n{}&={\\int_{a}^{b}f\\left(t\\right)dt}\t\n\\end{align*}","font":{"family":"Arial","size":11,"color":"#222222"},"id":"62","ts":1599656467150,"cs":"09ZfhlL1HHRdst+Jr4o66g==","size":{"width":105,"height":94}}

= R.H.S  (Hence proved)

(2) {"font":{"color":"#222222","family":"Arial","size":12},"id":"63","code":"$\\int_{a}^{b}f\\left(x\\right)dx=-\\int_{b}^{a}f\\left(x\\right)dx$","type":"$","ts":1599656557402,"cs":"Fblen651dKbYsa3u0QN3tg==","size":{"width":217,"height":28}}

Proof:- Let F(x) be an Anti-Derivative of f:- 

Taking L.H.S:-

{"code":"\\begin{align*}\n{}&={\\int_{a}^{b}f\\left(x\\right)dx}\\\\\n{}&={F\\left(b\\right)-F\\left(a\\right)}\\\\\n{}&={-\\left[F\\left(a\\right)-F\\left(b\\right)\\right]}\\\\\n{}&={-\\int_{b}^{a}f\\left(x\\right)dx}\t\n\\end{align*}","font":{"family":"Arial","size":11,"color":"#222222"},"id":"64","type":"align*","ts":1599656808761,"cs":"ew007KnSa1PQ8rnKtHSlTA==","size":{"width":142,"height":138}}

= R.H.S  (Hence proved)

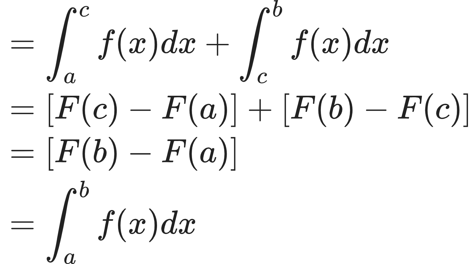
(3) {"code":"$\\int_{a}^{b}f\\left(x\\right)dx=\\int_{a}^{c}f\\left(x\\right)dx+\\int_{c}^{b}f\\left(x\\right)dx$","type":"$","font":{"color":"#222222","size":11,"family":"Arial"},"id":"65-0","ts":1599656965077,"cs":"5U1EFn70BhEOjTbtXTtL/w==","size":{"width":272,"height":24}}

Proof:- Let F(x) be an Anti-Derivative of f:- 

Taking R.H.S:-

{"font":{"color":"#222222","size":11,"family":"Arial"},"id":"66","code":"\\begin{align*}\n{}&={\\int_{a}^{c}f\\left(x\\right)dx+\\int_{c}^{b}f\\left(x\\right)dx}\\\\\n{}&={\\left[F\\left(c\\right)-F\\left(a\\right)\\right]+\\left[F\\left(b\\right)-F\\left(c\\right)\\right]}\\\\\n{}&={\\left[F\\left(b\\right)-F\\left(a\\right)\\right]}\\\\\n{}&={\\int_{a}^{b}f\\left(x\\right)dx}\t\n\\end{align*}","type":"align*","ts":1599741964190,"cs":"ZTzKkZMH9Ssk+CLuVDWcbA==","size":{"width":253,"height":141}}

= L.H.S  (Hence Proved)

(4) {"font":{"color":"#222222","family":"Arial","size":11},"type":"$","code":"$\\int_{a}^{b}f\\left(x\\right)dx=\\int_{a}^{b}f\\left(a+b-x\\right)dx$","id":"67","ts":1599657240680,"cs":"JZUhFeDn5zWB8kRS2RdTWA==","size":{"width":236,"height":24}}

Proof:- Taking L.H.S:-

{"type":"$","code":"$=\\int_{a}^{b}f\\left(x\\right)dx$","id":"68-0","font":{"size":12,"color":"#222222","family":"Arial"},"ts":1599657420038,"cs":"xEY/o+uoP/KGqsuwofX5Zg==","size":{"width":106,"height":28}}

Let t = a+b-x

⇒ x = a+b-t

Differentiate w.r.t. t:-

⇒ dt = - dx

⇒ dx = -dt

Limits:- t=b and t=a

{"type":"align*","code":"\\begin{align*}\n{}&={-\\int_{b}^{a}f\\left(a+b-t\\right)dt}\\\\\n{}&={-\\left(-\\int_{a}^{b}f\\left(a+b-t\\right)dt\\right)}\\\\\n{}&={\\int_{a}^{b}f\\left(a+b-t\\right)dt}\\\\\n{}&={\\int_{a}^{b}f\\left(a+b-x\\right)dx\\,\\,\\left(From\\,property\\,1\\right)}\t\n\\end{align*}","font":{"size":11,"family":"Arial","color":"#222222"},"id":"69-0","ts":1599658066570,"cs":"jBpPmTCvK7LU/MLo/4W4/A==","size":{"width":316,"height":193}}

= R.H.S (Hence Proved)

(5) {"id":"67","type":"$","font":{"color":"#222222","family":"Arial","size":11},"code":"$\\int_{0}^{a}f\\left(x\\right)dx=\\int_{0}^{a}f\\left(a-x\\right)dx$","ts":1599721907031,"cs":"cVicQgk0XOsI9YNeuiUMDw==","size":{"width":209,"height":21}}

Proof:- Taking L.H.S:-

{"id":"68-1","type":"$","code":"$=\\int_{0}^{a}f\\left(x\\right)dx$","font":{"size":12,"color":"#222222","family":"Arial"},"ts":1599721977541,"cs":"QjyZ6FS+Oql3uT28AGaeww==","size":{"width":108,"height":24}}

Let t = a-x

⇒ x = a-t

Differentiate w.r.t. t:-

⇒ dt = - dx

⇒ dx = -dt

Limits:- t=a and t=0

{"id":"69-1","font":{"color":"#222222","size":11,"family":"Arial"},"code":"\\begin{align*}\n{}&={-\\int_{a}^{0}f\\left(a-t\\right)dt}\\\\\n{}&={-\\left(-\\int_{0}^{a}f\\left(a-t\\right)dt\\right)}\\\\\n{}&={\\int_{0}^{a}f\\left(a-t\\right)dt}\\\\\n{}&={\\int_{0}^{a}f\\left(a-x\\right)dx\\,\\,\\left(From\\,property\\,1\\right)}\t\n\\end{align*}","type":"align*","ts":1599722073543,"cs":"1J/fYU4lQ0vpeSbf9bZXDQ==","size":{"width":288,"height":188}}

= R.H.S (Hence Proved)

(6) {"id":"70","code":"$\\int_{0}^{2a}f\\left(x\\right)dx=\\int_{0}^{a}f\\left(x\\right)dx+\\int_{0}^{a}f\\left(2a-x\\right)dx$","font":{"size":12,"family":"Arial","color":"#222222"},"type":"$","ts":1599729403174,"cs":"d2l7XQKkqArSX5Xb51goGQ==","size":{"width":364,"height":28}}

Proof:- Using Property 3:-

{"code":"\\begin{align*}\n{\\int_{0}^{2a}f\\left(x\\right)dx}&={\\int_{0}^{a}f\\left(x\\right)dx+\\int_{a}^{2a}f\\left(x\\right)dx}\\\\\n{\\int_{0}^{2a}f\\left(x\\right)dx}&={\\int_{0}^{a}f\\left(x\\right)dx+I_{1}....\\left(1\\right)}\t\n\\end{align*}","id":"71-0","font":{"family":"Arial","color":"#222222","size":11},"type":"align*","ts":1599729976925,"cs":"MW5R4kr2VoLQz1Ta+V4pvg==","size":{"width":308,"height":94}}

Calculate I1:-

{"id":"72","font":{"family":"Arial","size":11,"color":"#222222"},"code":"$I_{1}=\\int_{a}^{2a}f\\left(x\\right)dx$","type":"$","ts":1599730045860,"cs":"ENofS/zsiE/NS1vTPBmczQ==","size":{"width":122,"height":24}}

Let t = 2a - x

Differentiate w.r.t t:-

dt = - dx

dx = - dt

Limits:- t=a and t=0

{"type":"align*","id":"73","font":{"family":"Arial","size":11,"color":"#222222"},"code":"\\begin{align*}\n{I_{1}}&={-\\int_{a}^{0}f\\left(2a-t\\right)dt}\\\\\n{I_{1}}&={-\\left(-\\int_{0}^{a}f\\left(2a-t\\right)dt\\right)}\\\\\n{I_{1}}&={\\int_{0}^{a}f\\left(2a-t\\right)dt}\\\\\n{I_{1}}&={\\int_{0}^{a}f\\left(2a-x\\right)dx\\,\\,\\left(property\\,1\\right)}\t\n\\end{align*}","ts":1599730410587,"cs":"WNwaKX3yxWwYpNuK+d02Ww==","size":{"width":262,"height":188}}

Put this value in Eq. 1:-

{"type":"align*","font":{"family":"Arial","color":"#222222","size":11},"id":"71-1","code":"\\begin{align*}\n{\\int_{0}^{2a}f\\left(x\\right)dx}&={\\int_{0}^{a}f\\left(x\\right)dx+\\int_{0}^{a}f\\left(2a-x\\right)dx}\t\n\\end{align*}","ts":1599730519132,"cs":"5optzklzdboZNP99nY/apA==","size":{"width":342,"height":44}}

(Hence Proved….)

{"code":"\\begin{align*}\n{\\left(7\\right)\\int_{0}^{2a}f\\left(x\\right)dx}&={2\\int_{0}^{a}f\\left(x\\right)dx,if\\,f\\left(2a-x\\right)=f\\left(x\\right)\\,and}\\\\\n{\\int_{0}^{2a}f\\left(x\\right)dx}&={0,\\,if\\,f\\left(2a-x\\right)=-f\\left(x\\right)}\t\n\\end{align*}","font":{"family":"Arial","size":11,"color":"#222222"},"id":"74-0","type":"align*","ts":1599731022860,"cs":"52G6zHcjAFNlUtMIlF1aig==","size":{"width":428,"height":94}}

Proof:- We know Property 6 is:-

{"type":"$","font":{"size":11,"color":"#222222","family":"Arial"},"code":"$\\int_{0}^{2a}f\\left(x\\right)dx=\\int_{0}^{a}f\\left(x\\right)dx+\\int_{0}^{a}f\\left(2a-x\\right)dx$","id":"75-0","ts":1599734790235,"cs":"jeWj/hxTR9oQLBfX48Rjig==","size":{"width":324,"height":24}}

If f(2a-x) = f(x) then 

{"code":"\\begin{align*}\n{\\int_{0}^{2a}f\\left(x\\right)dx}&={\\int_{0}^{a}f\\left(x\\right)dx+\\int_{0}^{a}f\\left(x\\right)dx}\\\\\n{\\int_{0}^{2a}f\\left(x\\right)dx}&={2\\int_{0}^{a}f\\left(x\\right)dx}\t\n\\end{align*}","font":{"color":"#222222","size":11,"family":"Arial"},"id":"75-1-0-0","type":"align*","ts":1599734769231,"cs":"lymG0YGRCOHsBszpZNuaqQ==","size":{"width":301,"height":94}}(Hence Proved)

If f(2a-x) = - f(x) then 

{"code":"\\begin{align*}\n{\\int_{0}^{2a}f\\left(x\\right)dx}&={\\int_{0}^{a}f\\left(x\\right)dx-\\int_{0}^{a}f\\left(x\\right)dx}\\\\\n{\\int_{0}^{2a}f\\left(x\\right)dx}&={0}\t\n\\end{align*}","id":"75-1-1-0","font":{"size":11,"family":"Arial","color":"#222222"},"type":"align*","ts":1599734826359,"cs":"MGXgNVBRYEO7Y4NguTH+Tg==","size":{"width":301,"height":94}}(Hence Proved)

{"id":"74-1","font":{"family":"Arial","size":10,"color":"#222222"},"code":"\\begin{align*}\n{\\left(8\\right):\\left(i\\right)\\int_{-a}^{a}f\\left(x\\right)dx}&={2\\int_{0}^{a}f\\left(x\\right)dx,if\\,f\\,is\\,even\\,function\\,i.e.\\,f\\left(-x\\right)=f\\left(x\\right)}\\\\\n{\\left(ii\\right)\\int_{-a}^{a}f\\left(x\\right)dx}&={0,if\\,f\\,is\\,an\\,odd\\,function\\,i.e.\\,f\\left(-x\\right)=-f\\left(x\\right)}\t\n\\end{align*}","type":"align*","ts":1599733999446,"cs":"oGSXjo3rnLBFM0kW6BP7Ug==","size":{"width":505,"height":78}}

Proof:- We know Property 3 is:-

{"code":"$\\int_{a}^{b}f\\left(x\\right)dx=\\int_{a}^{c}f\\left(x\\right)dx+\\int_{c}^{b}f\\left(x\\right)dx$","type":"$","font":{"color":"#222222","size":11,"family":"Arial"},"id":"65-1","ts":1599656965077,"cs":"ITlDaG+iymCvSuyr3T1IzQ==","size":{"width":272,"height":24}}

Taking L.H.S:-

{"code":"\\begin{align*}\n{\\int_{-a}^{a}f\\left(x\\right)dx}&={\\int_{-a}^{0}f\\left(x\\right)dx+\\int_{0}^{a}f\\left(x\\right)dx}\\\\\n{\\int_{-a}^{a}f\\left(x\\right)dx}&={I_{1}+\\int_{0}^{a}f\\left(x\\right)dx....\\left(1\\right)}\t\n\\end{align*}","font":{"color":"#222222","family":"Arial","size":11},"id":"76-0","type":"align*","ts":1599734927775,"cs":"P2elqpwG7Vp7G8mshKQ3qA==","size":{"width":298,"height":93}}

Calculate I1:-

{"font":{"family":"Arial","size":11,"color":"#222222"},"id":"77","type":"$","code":"$I_{1}=\\int_{-a}^{0}f\\left(x\\right)dx$","ts":1599734997337,"cs":"36fJ3X9J8IVsIPbvRH+9jw==","size":{"width":122,"height":24}}

Let t = - x

Differentiate w.r.t. x:-

dt = - dx

Limits:- t = a and t = 0

{"id":"78","code":"\\begin{align*}\n{I_{1}}&={-\\int_{a}^{0}f\\left(-t\\right)dt}\\\\\n{I_{1}}&={-\\left(-\\int_{0}^{a}f\\left(-t\\right)dt\\right)\\,\\left(property\\,2\\right)}\\\\\n{I_{1}}&={\\int_{0}^{a}f\\left(-t\\right)dt}\\\\\n{I_{1}}&={\\int_{0}^{a}f\\left(-x\\right)dx\\,\\left(property\\,1\\right)}\t\n\\end{align*}","font":{"family":"Arial","size":11,"color":"#222222"},"type":"align*","ts":1599735810929,"cs":"aPLPCTKS9DYtQbmy7rcaWA==","size":{"width":282,"height":188}}

Put this value in Eq. 1:-

{"type":"align*","code":"\\begin{align*}\n{\\int_{-a}^{a}f\\left(x\\right)dx}&={\\int_{0}^{a}f\\left(-x\\right)dx+\\int_{0}^{a}f\\left(x\\right)dx}\t\n\\end{align*}","font":{"size":11,"color":"#222222","family":"Arial"},"id":"76-1","ts":1599735930277,"cs":"ZNJi/MJ8YE7MBYxULPTxoA==","size":{"width":312,"height":42}}

If f is even and f(-x) = f(x) then 

{"type":"align*","font":{"family":"Arial","size":11,"color":"#222222"},"code":"\\begin{align*}\n{\\int_{-a}^{a}f\\left(x\\right)dx}&={\\int_{0}^{a}f\\left(-x\\right)dx+\\int_{0}^{a}f\\left(x\\right)dx}\\\\\n{\\int_{-a}^{a}f\\left(x\\right)dx}&={\\int_{0}^{a}f\\left(x\\right)dx+\\int_{0}^{a}f\\left(x\\right)dx}\\\\\n{\\int_{-a}^{a}f\\left(x\\right)dx}&={2\\int_{0}^{a}f\\left(x\\right)dx}\t\n\\end{align*}","id":"76-1","ts":1599736168492,"cs":"POI7B1XB4OXTTNlQslvgig==","size":{"width":312,"height":138}}

(Hence Proved)

If f is odd and f(-x) = - f(x) then

{"font":{"size":11,"color":"#222222","family":"Arial"},"type":"align*","code":"\\begin{align*}\n{\\int_{-a}^{a}f\\left(x\\right)dx}&={\\int_{0}^{a}f\\left(-x\\right)dx+\\int_{0}^{a}f\\left(x\\right)dx}\\\\\n{\\int_{-a}^{a}f\\left(x\\right)dx}&={-\\int_{0}^{a}f\\left(x\\right)dx+\\int_{0}^{a}f\\left(x\\right)dx}\\\\\n{\\int_{-a}^{a}f\\left(x\\right)dx}&={0}\t\n\\end{align*}","id":"76-1","ts":1599736734780,"cs":"lz/ZM1zOFNZqwv/6pR2IQw==","size":{"width":314,"height":138}}

(Hence Proved)

Download PDF of Integrals Notes

If you have any queries, you can ask me in the comment section And you can follow/subscribe me for the latest updates on your e-mails For subscribing me follow these instructions:- 1. Fill your E-mail address 2. Submit Recaptcha 3. Go to your email and then click on the verify link Then you get all update on your email Thanks for Reading ......

Post a Comment

Comment me for any queries or topic which you want to learn

Previous Post Next Post